Ответы
Ответ дал:
1
Ответ:
смотри на фотографию
Пошаговое объяснение:
тутуру
Приложения:

shisuko123:
Спасибочки!!!
Ответ дал:
0
Ответ:
х= -7
Пошаговое объяснение:
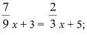
Для начала нужно привести дроби к общему знаменателю, умножив всё уравнение на конкретное число (здесь это будет 9) потом неизвестные числа (числа с буквой х) переносим влево, а известные соответственно-вправо. А потом делим известную часть на неизвестную и получаем ответ. Решение ниже:
7х+27=4х+5
7х-4х= -27+5
3х= -22
х= -7
Вас заинтересует
2 года назад
2 года назад
2 года назад
2 года назад
7 лет назад
7 лет назад
9 лет назад