• Предмет: Алгебра
  • Автор: asdasdasdqwezxc
  • Вопрос задан 3 года назад

Решите пожалуйста,очень надо

Приложения:

Ответы

Ответ дал: Zombynella
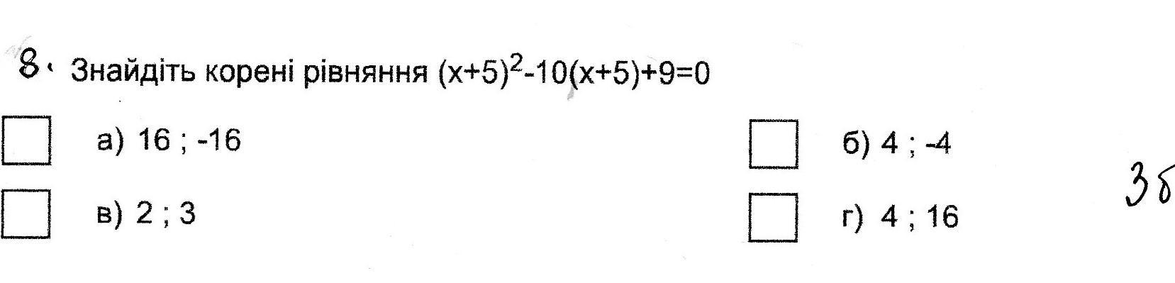
1

Ответ:

х₁,₂=±4

Объяснение:

(х+5)²-10(х+5)+9=0

х²+10х+25-10х-50+9=0

х²-16=0

х²=16

х₁,₂=±√16

х₁,₂=±4   ответ б)

Вас заинтересует