• Предмет: Алгебра
  • Автор: olegt9377
  • Вопрос задан 3 года назад

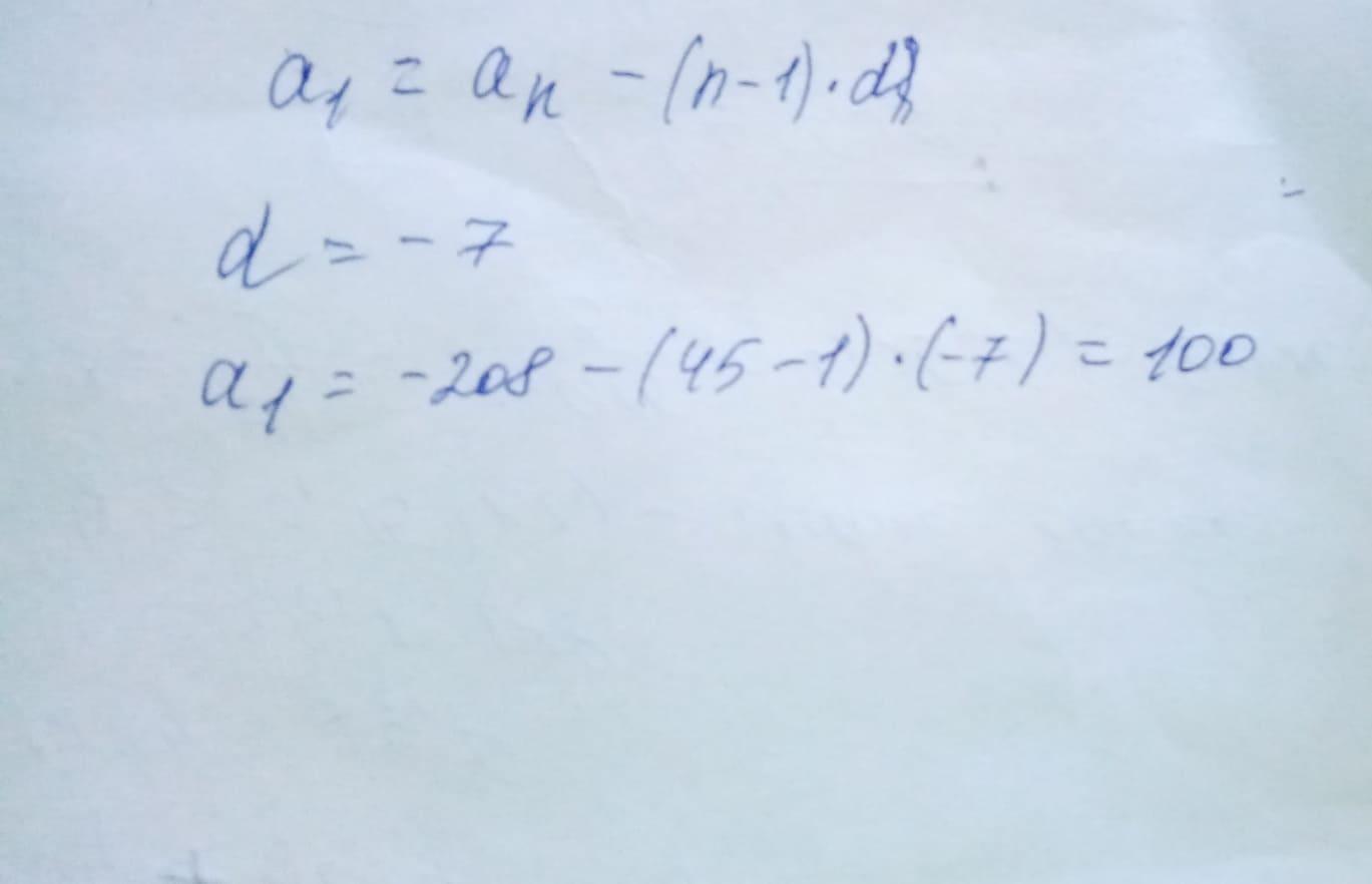
у арефметичній прогресії кожний наступний член на 7 менший від попереднього.знайти перший член прогресії, якщо її сорок п'ятий член дорівнює -208​

Ответы

Ответ дал: sbloleksandr
1

Ответ:

100

Объяснение:

Приложения:
Вас заинтересует