• Предмет: Алгебра
  • Автор: nnassvayy
  • Вопрос задан 3 года назад

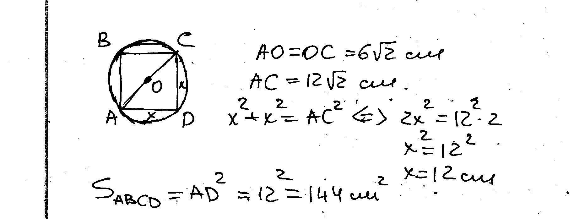
Знайдіть площу квадрата, якщо радіус кола, описаного навколо нього, дорівнює 6√2

Ответы

Ответ дал: mukotavol
8

Ответ:

144 см²

Объяснение:

Приложения:
Вас заинтересует