• Предмет: Физика
  • Автор: gubko2010
  • Вопрос задан 10 лет назад

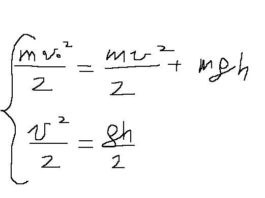
Тело брошено вертикально вверх со скоростью 9мс. Кинетическая энергия тела будет равна половине его потенциальной энергии на высоте h равной
1) 4м 2) 3,2 м 3) 2,7м 4) 1,1м

Ответы

Ответ дал: АлисаАмико
0
Вроде бы вот как то так это должно быть (1.1м/с)
Приложения:
Ответ дал: gubko2010
0
разве кинетическая энергия может быть равна кинетической + потенциальной ?
Ответ дал: АлисаАмико
0
++++
Вас заинтересует