• Предмет: Алгебра
  • Автор: akkprodamp
  • Вопрос задан 3 года назад

решите хотябы одно плиз

Приложения:

Ответы

Ответ дал: afet74
1

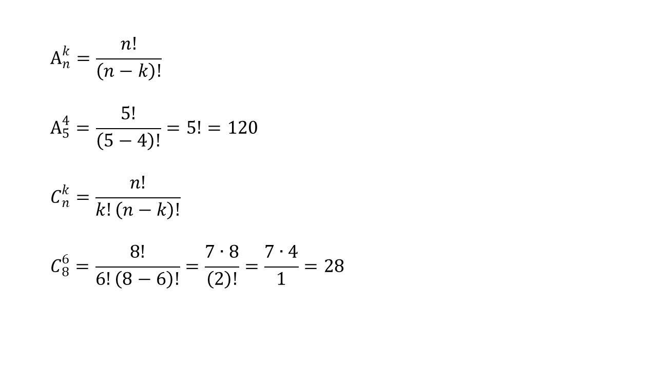
Ответ:

120;    28

Объяснение:

Приложения:
Вас заинтересует