• Предмет: Физика
  • Автор: muxarodriges
  • Вопрос задан 3 года назад

СРОЧНО!!! ДАЮ 65 БАЛЛОВ!!!
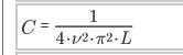
Яка ємність конденсатора в коливальному контурі індкутивністю 60·10^{-6}Гн, якщо частота контуру v=2·10³Гц?

Ответы

Ответ дал: aleks2287
0

Ответ во вложениях снизу

Приложения:
Вас заинтересует