Ответы
Ответ дал:
0
Ответ:
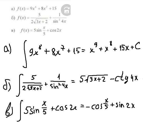
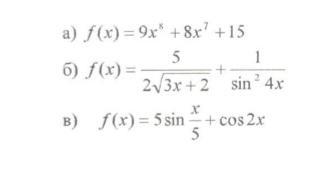
на "фото"
Пошаговое объяснение:
Приложения:

Вас заинтересует
2 года назад
2 года назад
2 года назад
7 лет назад
9 лет назад
9 лет назад