Ответы
Ответ дал:
0
Ответ:
Объяснение:
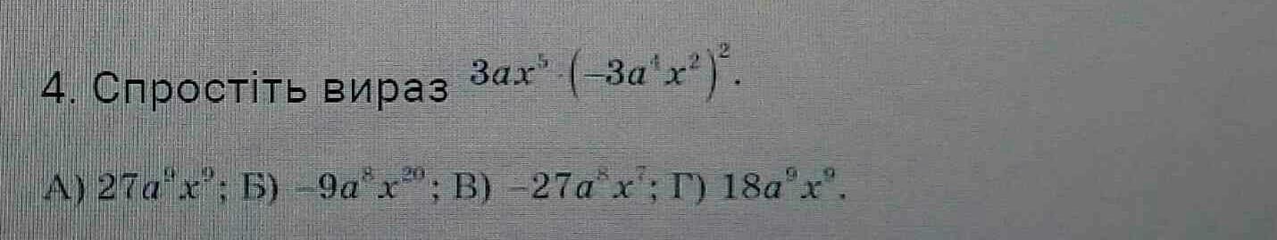
Приступим сразу к решению:
christinakrasyuk:
Здраствуйте, можете пожалуйста решить мое последние задание.Там уже ответили, но хочу чтоб вы проверили или написали ответ.Прошу.Вы самый умный, УМОЛЯЮ.Хотя бы посмотрите
Ответ дал:
0
Ответ: ответ А
Объяснение:
Приложения:

Вас заинтересует
2 года назад
2 года назад
2 года назад
2 года назад
7 лет назад
7 лет назад
9 лет назад