• Предмет: Алгебра
  • Автор: patlinapatlina
  • Вопрос задан 3 года назад

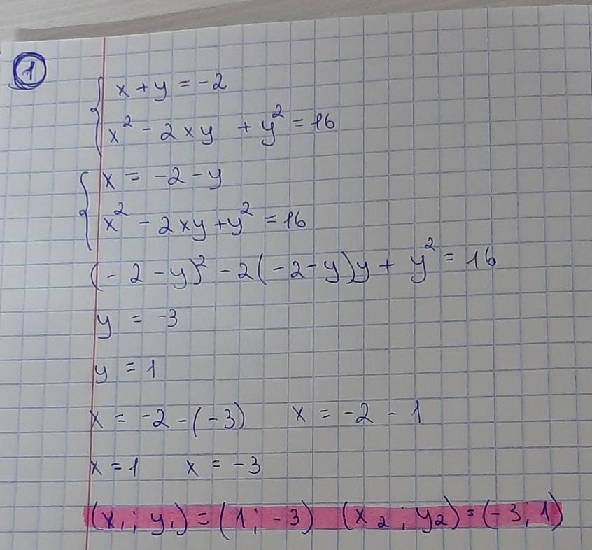
1) Решите систему уравнений
x+y= -2
x²-2xy+y²=16
2) Решите графическим способом систему уравнений
а) y=0,5x+3 б) y=x+2
y=2x-3 y=x²- 6x+8
Умники помогите пожалуйста

Ответы

Ответ дал: amannasta2004
5

Ответ:

это не так уж и трудно.!

Приложения:

patlinapatlina: А 2 задание можно?
amannasta2004: всё
Вас заинтересует