• Предмет: Химия
  • Автор: igorchaplygin95
  • Вопрос задан 3 года назад

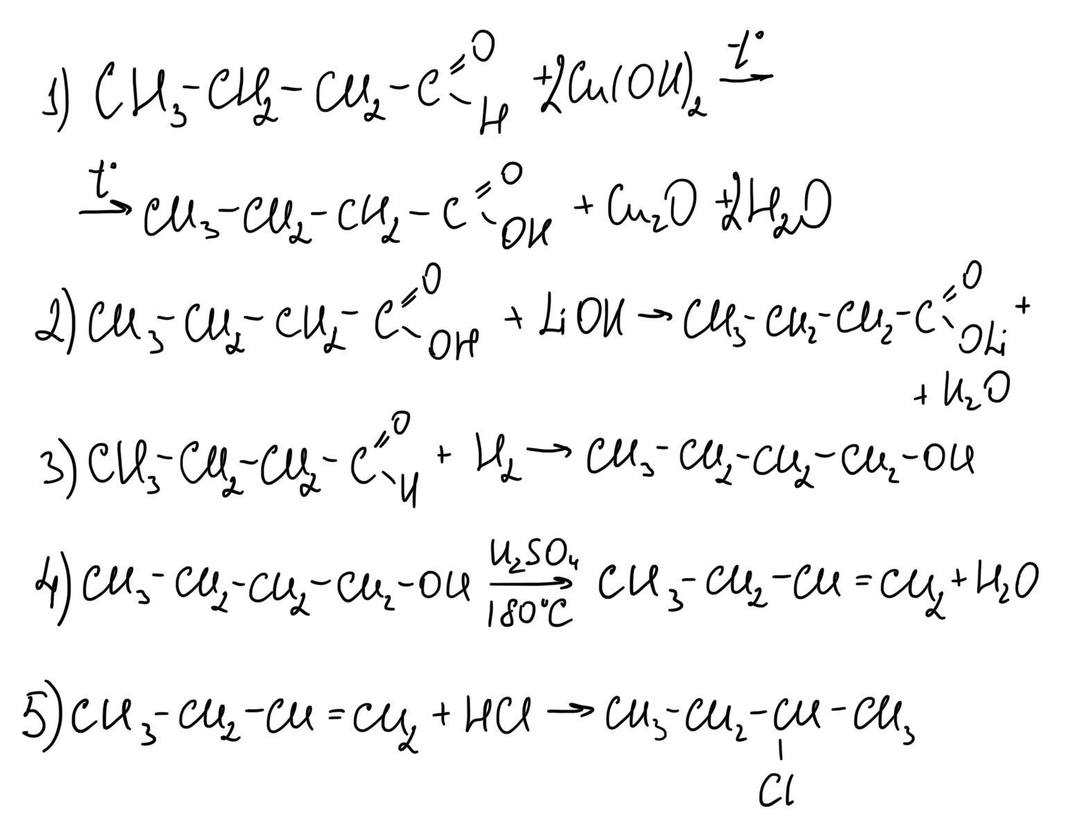
Решить цепочку превращений по теме «Альдегиды. Карбоновые кислоты»
бутират лития←масляная кислота←бутаналь→бутанол-1→бутен-2→2-хлорбутан


Giorgio: а в первых реакциях стрелочки влево, да?
igorchaplygin95: да

Ответы

Ответ дал: Giorgio
1

Первые две реакции: от бутаналя налево, начиная с третьей: от него направо

Приложения:
Вас заинтересует