• Предмет: Математика
  • Автор: katyasmirnov
  • Вопрос задан 3 года назад

Помогите пожалуйста решить производные функций. Плачу 50 баллов !

Приложения:

Ответы

Ответ дал: natalyabryukhova
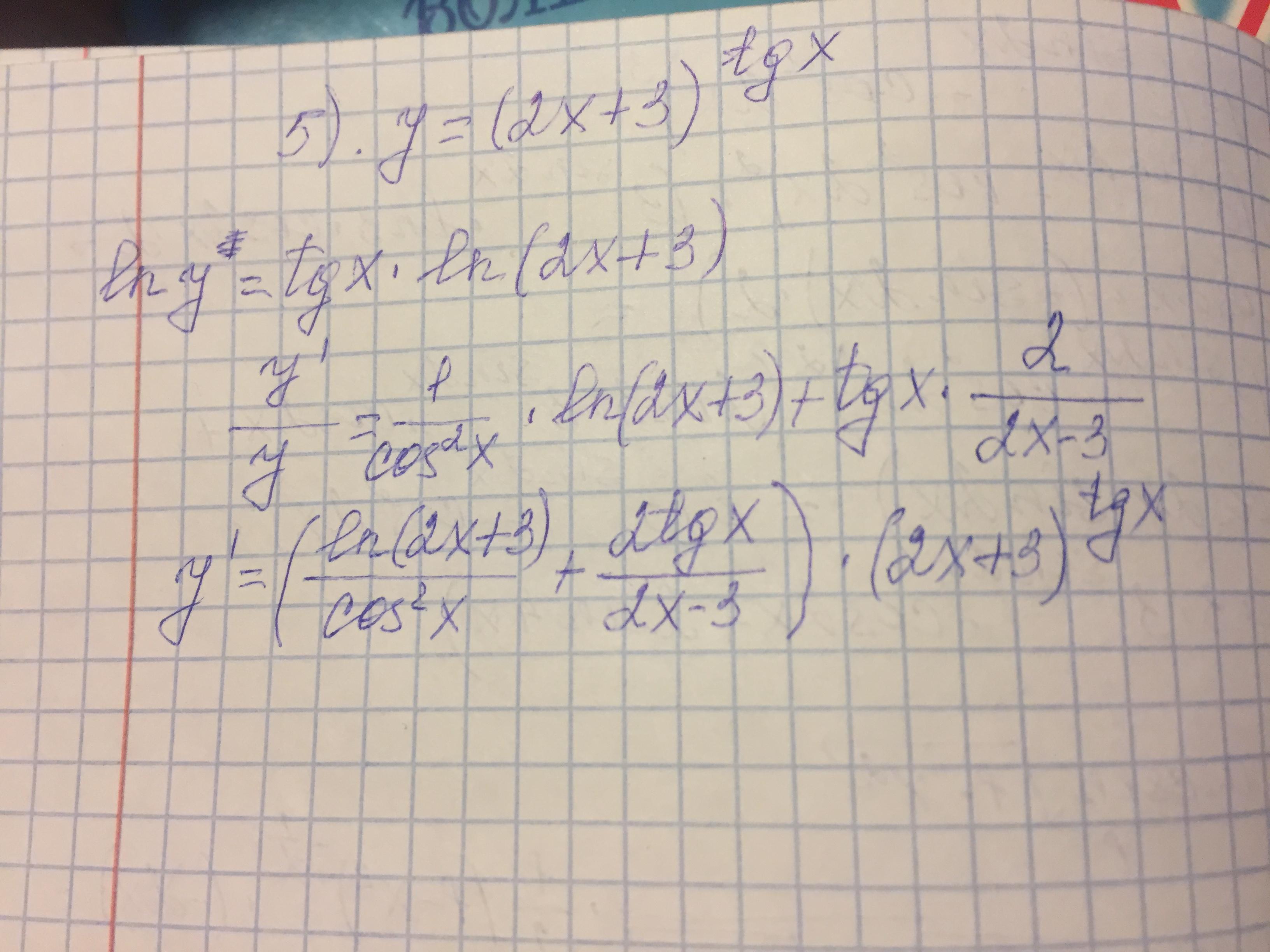
1

Ответ:

==========================================

Пошаговое объяснение:

Приложения:

katyasmirnov: Благодарна за помощь ! Спасибо огромное за труд.
Вас заинтересует