• Предмет: Математика
  • Автор: Аноним
  • Вопрос задан 3 года назад

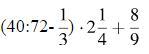
Можно только ответ. Заранее спасибо.

Приложения:

Ответы

Ответ дал: bohachmaksym
0

Ответ:

47/36

Пошаговое объяснение:

Вас заинтересует