Помогите пожалуйста
Слиток золота с 60 г золота,сплавили с 60г золота.Процентное содержание золота в новом слитке на 15% больше,чем в исходном. Сколько граммов серебра содержится в слитке?
Аноним:
условие уточните?
Ответы
Ответ дал:
0
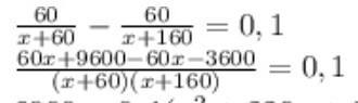
Пусть в сплаве было x гр серебра. Когда добавили, стало (x+100) гр.
Вес сплава был (x+60) гр, стал (x+100+60) = (x+160) гр.
Содержание золота в сплаве было 60/(x+60), стало 60/(x+160), что на 10% или на 0,1 меньше, чем было. То есть
решение с фотографии писать сюда.
Ответ: изначально в сплаве было 140 граммов серебра.
Приложения:

Вас заинтересует
2 года назад
2 года назад
2 года назад
7 лет назад
9 лет назад