• Предмет: Геометрия
  • Автор: nastasupelikova7
  • Вопрос задан 3 года назад

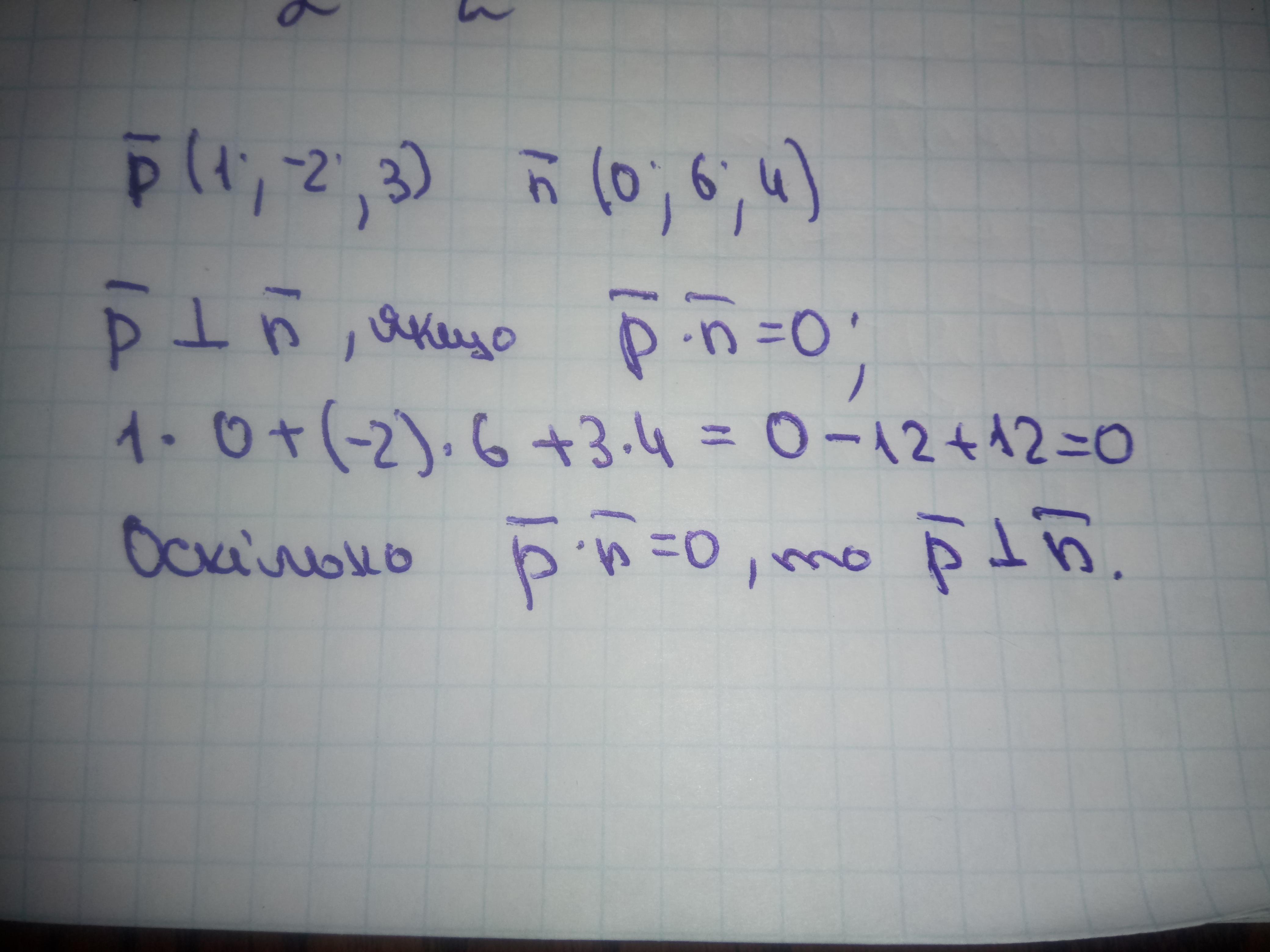
доведіть, що вектори p(1;-2;3) і вектор n(0;6;4) перпендикулярні​

Ответы

Ответ дал: Аноним
1

Відповідь: доведення

Приложения:
Вас заинтересует