• Предмет: Математика
  • Автор: bbrizickij
  • Вопрос задан 3 года назад

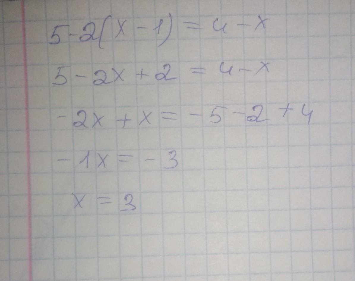
5-2(x-1)=4-x Помогите пж​

Ответы

Ответ дал: Himerrokovoy
1

Ответ:

смотри на фотографию

Пошаговое объяснение:

тутуру

Приложения:

bbrizickij: спс с меня потписка
Ответ дал: alinamlt2005
1

Ответ:

.........................

Приложения:
Вас заинтересует