умоляю решите пожалуйста очень прошу!!!!!!!!!!!! 2(11х-8)^2=4(11х-8)^2-14. найдите решения корня
AdShcool:
^ это множить??
Ответы
Ответ дал:
0
Объяснение:
Ответ дал:
0
Ответ:
Объяснение:
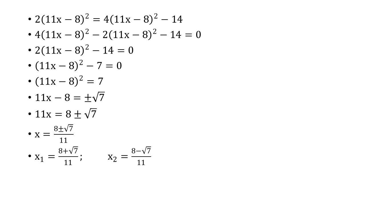
2(11х-8)^2=4(11х-8)^2-14
4(11х-8)^2-2(11х-8)^2-14=0
2(11х-8)^2-14=0
(11х-8)^2-7=0
(11х-8)^2=7
11х-8=±√7
11х=8±√7
х=(8±√7)/11
х_1=(8+√7)/11; х_2=(8-√7)/11
Приложения:

Вас заинтересует
2 года назад
2 года назад
2 года назад
2 года назад
7 лет назад
7 лет назад