Ответы
Ответ дал:
1
Пошаговое объяснение:
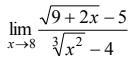
решение представлено на фото
Приложения:

leeht:
Огромное спасибо
Вас заинтересует
2 года назад
2 года назад
7 лет назад