Ответы
Ответ дал:
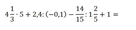
1
1) 4 1/3•5= 21 2/3
2) 2.4:(-0.1)=-24
3)14/15: 1 2/5= 2/3
4)21 2/3+(-24)=- 2 1/3
5)-2 1/3-2/3=-3
6)-3+1=-2
2) 2.4:(-0.1)=-24
3)14/15: 1 2/5= 2/3
4)21 2/3+(-24)=- 2 1/3
5)-2 1/3-2/3=-3
6)-3+1=-2
Вас заинтересует
2 года назад
2 года назад
2 года назад
8 лет назад