Ответы
                                            Ответ дал: 
                                                                                            
                                                    
                                                
                                                                                    
                                        
                                            
                                                
                                                
                                                
                                                    1
                                                
                                            
                                        
                                    Ответ:
смотри на фотографию
если есть вопросы пиши в комментарии
Объяснение:
тутуру
Приложения:
                     
                            
                                            Ответ дал: 
                                                                                    
                                        
                                            
                                                
                                                
                                                
                                                    1
                                                
                                            
                                        
                                    Ответ:
Объяснение:
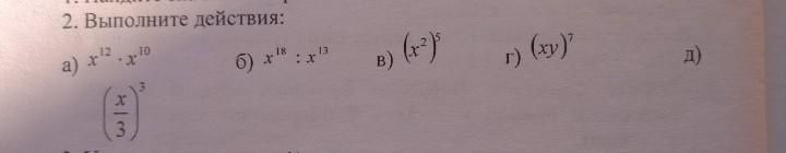
1) Х^22
2) Х^5
3) Х ^10
4)Х^7 × У^7
5) Х^3/3^3=Х^3/27
Вас заинтересует
                
                        2 года назад
                    
                
                        2 года назад
                    
                
                        7 лет назад
                    
                
                        9 лет назад
                    
                
                        9 лет назад
                    
                