Ответы
Ответ дал:
0
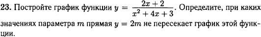
Сказано построить график , см рисунок , так как нужно найти прямую такую что не имеет (не пересекает) данную функцию , то нужно вычислить асимптоту функций , так как наша функция представляет собой гиперболу . Для этого нужно вычислить предел функций при х стр к +oo
, то есть поделил числитель и знаменатель на x^2, то есть при m=0
Приложения:

Вас заинтересует
2 года назад
2 года назад
8 лет назад
8 лет назад
10 лет назад
10 лет назад
10 лет назад
10 лет назад