Ответы
Ответ дал:
1
Ответ:
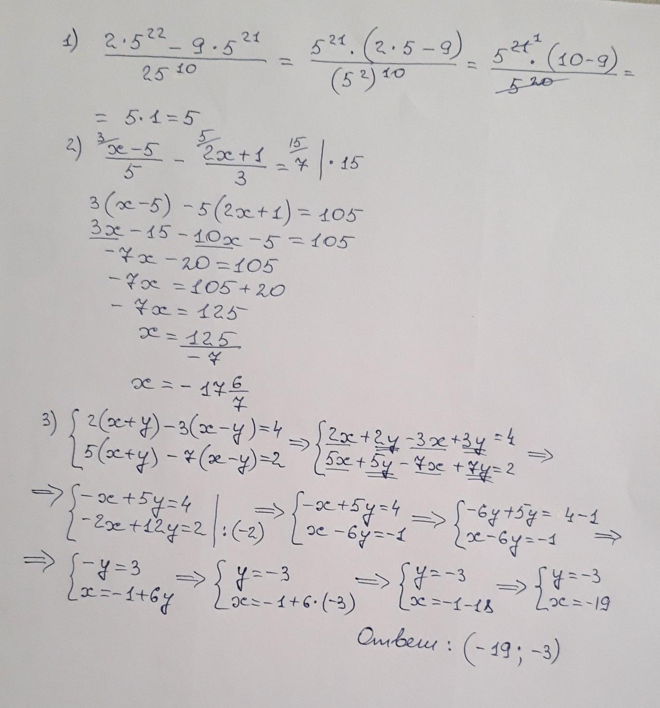
(-19 ;-3 ) .
Решите тест.
Приложения:

vikabutrij5:
Спасіва
Вас заинтересует
2 года назад
2 года назад
2 года назад
2 года назад
7 лет назад
7 лет назад
9 лет назад
9 лет назад