• Предмет: Алгебра
  • Автор: MihaGaming
  • Вопрос задан 3 года назад

Дана арифметическая прогрессия: -5; -3; -1;... Найдите сумму первых восьми её членов

Ответы

Ответ дал: olgachervonaya1974
1

Ответ: S8=16

Объяснение:

d= -3-(-5)= - 3+5=2 (різниця)

n =8

a1= -5

a8= a1+7d

a8= - 5+7×2= -5+14=9

S8= (a1+an)/2×n

S8=(-5+9)/2×8=4/2×8=2×8=16

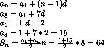
Ответ дал: rbadalboyeva
0

Ответ:

Вот фото посмотри

Объяснение:

Приложения:
Вас заинтересует