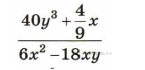
Запишите арифметическое выражение
в виде формулы для ЭТ. Вместо x используйте в формуле адрес ячейки А1, вместо y - адрес ячейки В1.
Приложения:

Ответы
Ответ дал:
3
Ответ:
=(40*(В1^3)+(4/9)*А1)/6*(А1^2)-18*А1*В1
Объяснение:
Вас заинтересует
2 года назад
2 года назад
2 года назад
7 лет назад
7 лет назад