• Предмет: Алгебра
  • Автор: nikivehzom
  • Вопрос задан 11 лет назад

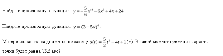
помогите решить задачки

Приложения:

Ответы

Ответ дал: vadim899
0
y'=-15x^17-30x^4+4
y'=-30(3-5x)^5
s'(t)=5t-4
13.5=5t-4
t=3.5
Вас заинтересует