• Предмет: Алгебра
  • Автор: laguskal
  • Вопрос задан 3 года назад

Решить 8 коротких уравнений по алгебре, 8 класс. ПОМОГИТЕ, ПОЖАЛУЙСТА ДАЮ53БАЛЛОВ ЧЕСТНО

Приложения:

Ответы

Ответ дал: terikovramazan
1

Ответ:

Объяснение:

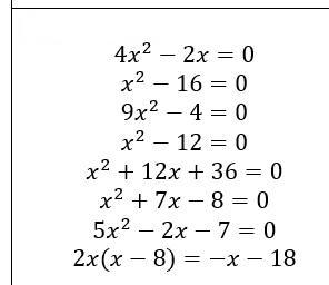
1) 4х²-2х=0

 2х(2х-1)=0

2х=0⇒х=0

2х-1=0⇒2х=1⇒х=0,5

Ответ: 0; 0,5;

х²-16=0⇒х²=16⇒х=±√16⇒х=±4

Ответ: -4;4;

3) 9х²-4=0⇒ 9х²=4⇒х²=4/9⇒х=±√4/9⇒х=±2/3

 Ответ: -2/3; 2/3;

4)х²-12=0

 х²=12⇒х=±√12⇒х=±2√3

Ответ: -2√3;2√3

5)х²+12х+36=0

(х+6)²=0⇒х+6=0⇒х=-6

Ответ: -6;

6)х²+7х-8=0

По теореме, обратной теореме Виета х1+х2=-7;х1·х2=-8 Отсюда, х1=-8;х2=1

Ответ: -8;1;

5х²-2х-7=0

D=(-2)²-4·5·(-7)=4+140=144;√D=√144=12;

х=(2±12)/2·5=(2±12)/10

х1=(2-12)/10=-10/10=-1

х2=(2+12)/10=14/10=7/5=1,4

Ответ:-1;1,4;

7)2х(х-8)=-х-18

2х²-16х=-х-18

2х²-15х+18=0

D=(-15)²-4·2·18=225-144=81; √D=√81=9

х=(15±9)/2·2=(15±9)/4

х1=(15-9)/4=6/4=1,5

х2=(15+9)/4=24/4=6

Ответ:1,5; 6;


laguskal: Спасибо большое! Вам пришли баллы? Я просто не знаю, как их положить
terikovramazan: Не беспокойся, их у меня мого
Вас заинтересует