(100б.) Три тригонометрических уравнения:
2sin(x) + sin(3x) - sin(x) = 0;
cos(4x) - cos(2x) = 2sin(x);
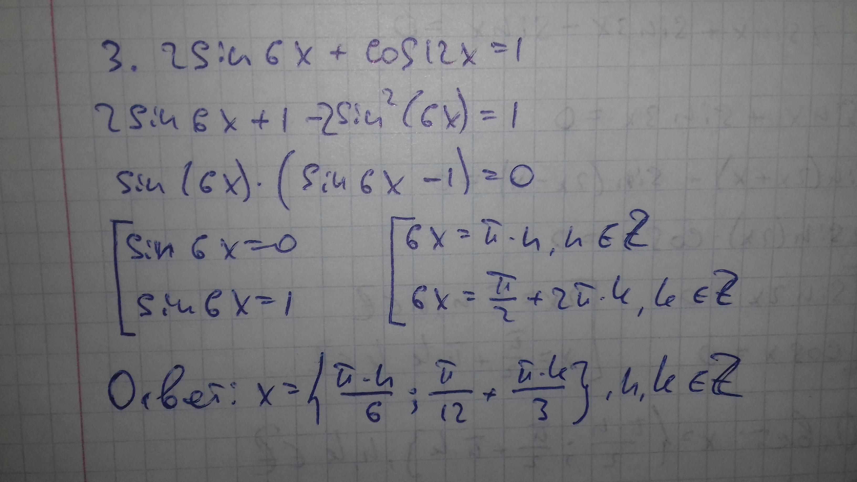
2sin(6x) + cos(12x) = 1.
Ответы
Ответ дал:
1
Решение на двух фото.
Приложения:


bigoof:
Вы - мой герой. Еще раз спасибки :3
Вас заинтересует
2 года назад
2 года назад
2 года назад
2 года назад
7 лет назад
7 лет назад
9 лет назад
9 лет назад