ПОМОГИТЕ ПРОШУ ДАМ 30 БАЛЛОВ!!
Раскрой скобки и упрости выражение:
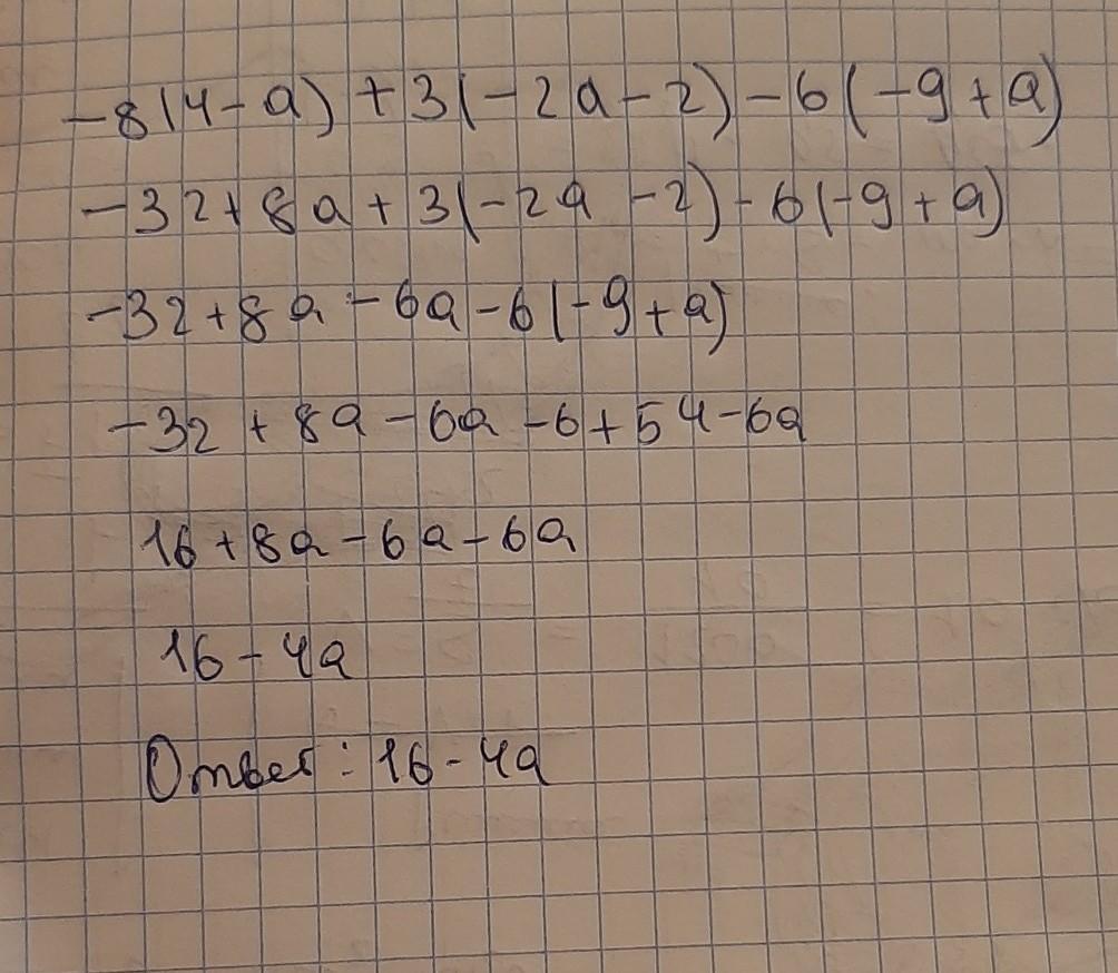
−8(4−a)+3(−2a−2)−6(−9+a).
Ответ: выражение без скобок (пиши без промежутков, не меняя порядка слагаемых; переменные пиши латинскими буквами)
;
результат после упрощения
(первым записывай число, в том числе и 0, если получается; коэффициент −1 или 1 при буквенном множителе — записывать)
.
Ответы
Ответ дал:
1
Ответ:
16-4а
Если ответ помог, оцени пожалуйста!!
Приложения:

chelovek2797:
спасибо
Ответ дал:
0
Ответ:
-8 (4-а) + 3(-2а - 2) - 6(-9+ а)
-32 + 8а -6а -6 +54 - 6а
16+8а - 12а
Ответ:16-4а
Вас заинтересует
2 года назад
2 года назад
2 года назад
7 лет назад