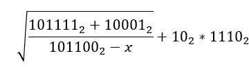
Каким числом можно заменить переменную x, чтобы результат выражения был равен наибольшему пятизначному четному двоичному числу?
Приложения:

Ответы
Ответ дал:
1
Ответ:
31 сама делала только что
katyayefremova03:
а у тебя было это задание? https://znanija.com/task/37484893
Вас заинтересует
2 года назад
2 года назад
2 года назад
7 лет назад
9 лет назад
9 лет назад