Ответы
Ответ дал:
0
Ответ:
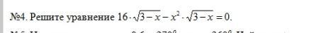
надеюсь понятно. здесь три корня выходит
Приложения:

Вас заинтересует
2 года назад
7 лет назад
9 лет назад
9 лет назад