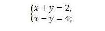
Решите систему уравнений методом сложения. Обратите внимание как записывается ответ. Первым записывается значение переменной x, вторым y. То есть ответ должен выглядеть как (x; y), где вместо x и y вы пишете значение переменных, удовлетворяющих условиям системы уравнений.
Приложения:

Ответы
Ответ дал:
0
Ответ:
(3;-1)
Объяснение:
2х=6
х=3 =>
у=-1
Вас заинтересует
2 года назад
2 года назад
2 года назад
7 лет назад
9 лет назад