Ответы
Ответ дал:
0
Ответ:
4
Объяснение:
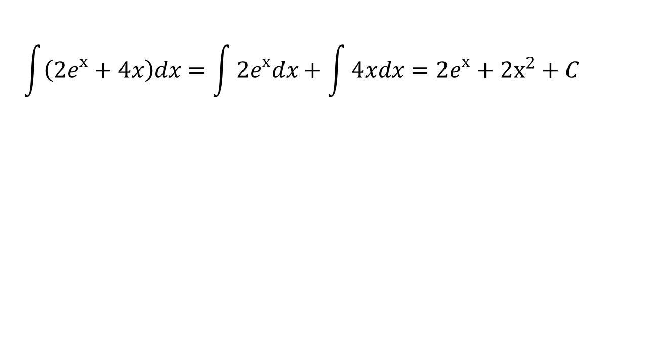
проверим через производную
Приложения:

vysotskaia663:
4)
Вас заинтересует
2 года назад
2 года назад
2 года назад
2 года назад
7 лет назад
9 лет назад