• Предмет: Алгебра
  • Автор: anna1232620
  • Вопрос задан 3 года назад


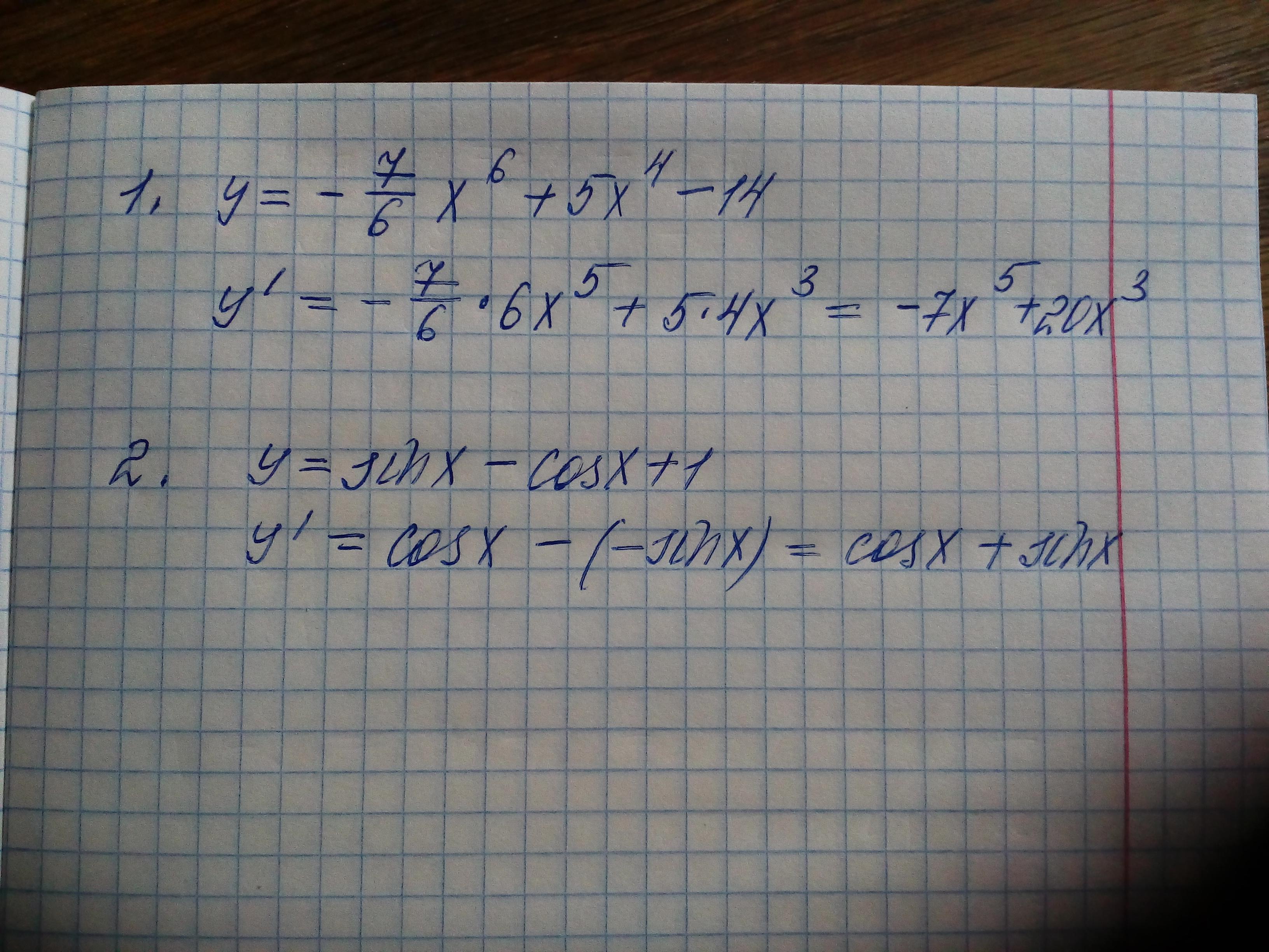
1. Укажіть похідну функції у = -7/6 x6+ 5x4 - 14

2. Укажіть похідну функції у = sinx - cosx +1
Буд ласка, прошу допоможіть)) СРОЧНО! ​

Ответы

Ответ дал: m11m
4

Ответ:

Объяснение:

!!!!!!!!!!!!!!!!!!!

Приложения:
Ответ дал: sangers1959
1

Ответ:

Объяснение:

1.y'=(-\frac{7}{6} x^{6} +5x^{4} -14)'=7x^{5} +20x^{3} .\\ 2.y'=(sinx-cosx+1)'=cosx+sinx.

Вас заинтересует