Ответы
Ответ дал:
1
Ответ:
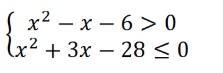
Смотри на фото..............
Приложения:

Ответ дал:
1
Ответ:
Объяснение:
................
Приложения:

Вас заинтересует
2 года назад
2 года назад
2 года назад
7 лет назад
7 лет назад
9 лет назад
9 лет назад