Ответы
Ответ дал:
0
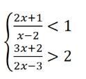
Решение представлено на фото
Приложения:

Ответ дал:
0
Ответ:
Объяснение:
................
Приложения:

Вас заинтересует
2 года назад
2 года назад
2 года назад
2 года назад
7 лет назад
7 лет назад