• Предмет: Математика
  • Автор: lenaegorova1801
  • Вопрос задан 3 года назад

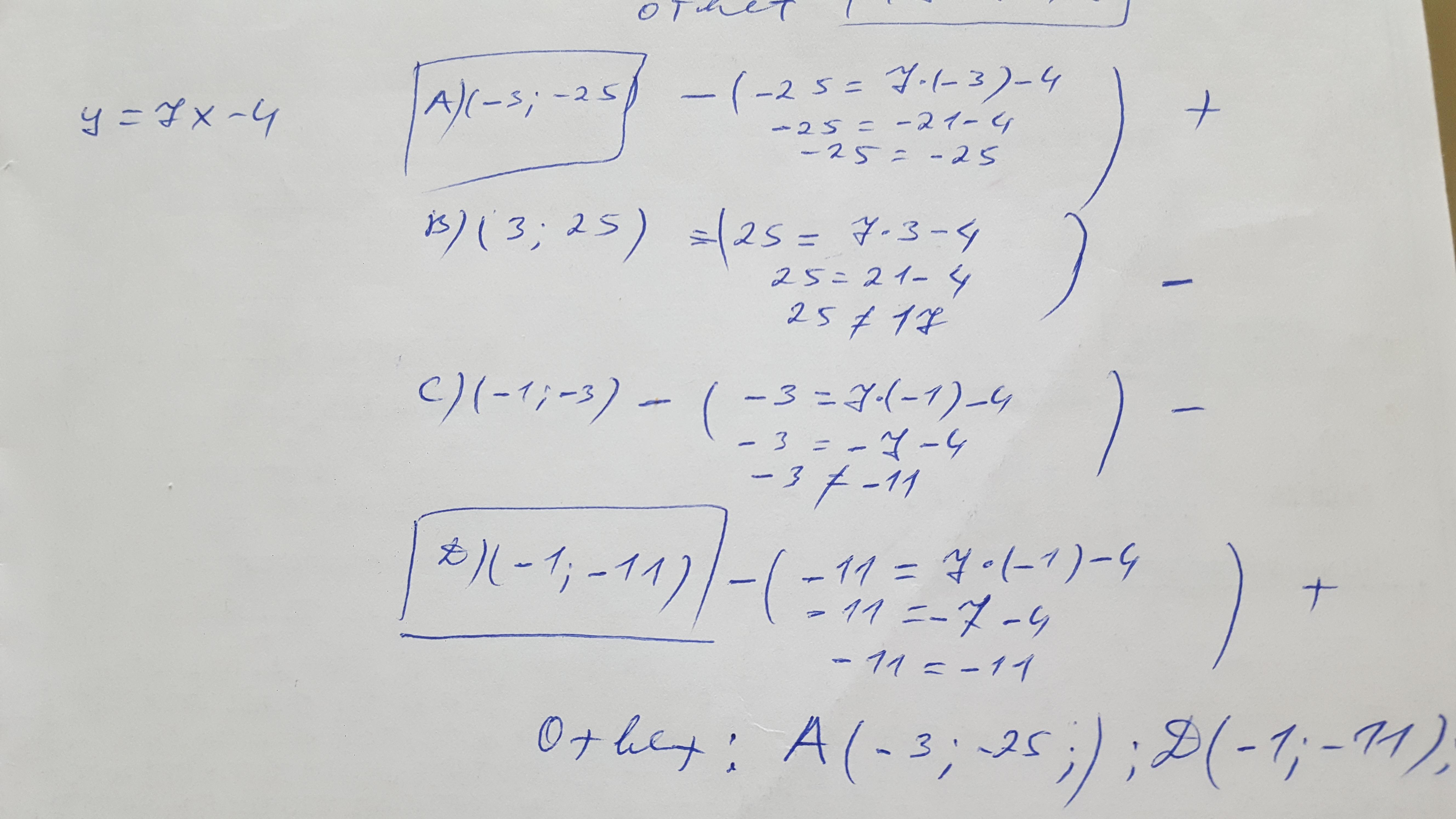
выбери точки через которые проходит график функции y=7x-4
А(-3;-25)
В(3;25)
С(-1;-3)
D(-1;-11)​​

Ответы

Ответ дал: anaitsasha
11

Ответ:

Фото

Пошаговое объяснение:

Приложения:
Вас заинтересует