Ответы
Ответ дал:
1
1)a
2)Да
3)Извините не знаю
4){1-(-2)=3
{3×1+(-2)=1
3=3
1=1
Да,является
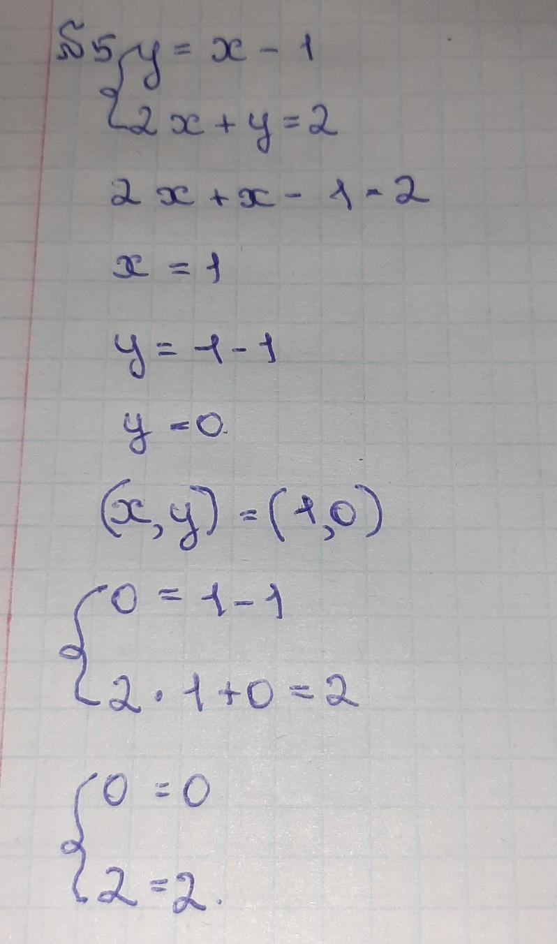
5)Смотрите в закрепе
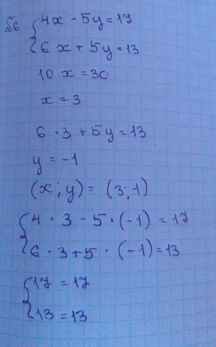
6)Смотрите в закрепе
7)Я не особо дружу с графическим способом))) Но смотреть в закрепе
8)Х- кг для 1 лошади, у-кг для 1 коровы
система уравнений:
5х-7у=3
8х+15у=162
решаем
х=(3+7у):5
8(3+7у):5+15у=162
умножаем все части на 5
24+56у+75у=810
131у=786
у=6
х=(3+7·6):5
х=9
9кг лошади и 6 кг корове
Приложения:



Вас заинтересует
2 года назад
2 года назад
2 года назад
7 лет назад
7 лет назад