• Предмет: Алгебра
  • Автор: benthompsonmsi
  • Вопрос задан 3 года назад

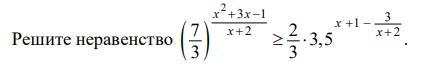
Нужно решить неравенство по алгебре

Приложения:

Ответы

Ответ дал: tamarabernukho
1

Ответ:

x∈(-∞;-3]U(-2;1]

Объяснение:

Приложения:
Вас заинтересует