Ответы
Ответ дал:
1
Ответ:
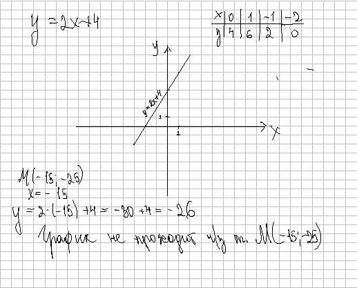
на фото
Объяснение:
Приложения:

PapashaS:
спасибо), но когда ты решал(а), я сам успел сделать))) все равно спасибо
Вас заинтересует
2 года назад
2 года назад
7 лет назад
7 лет назад
9 лет назад