• Предмет: Алгебра
  • Автор: Directdrive
  • Вопрос задан 3 года назад

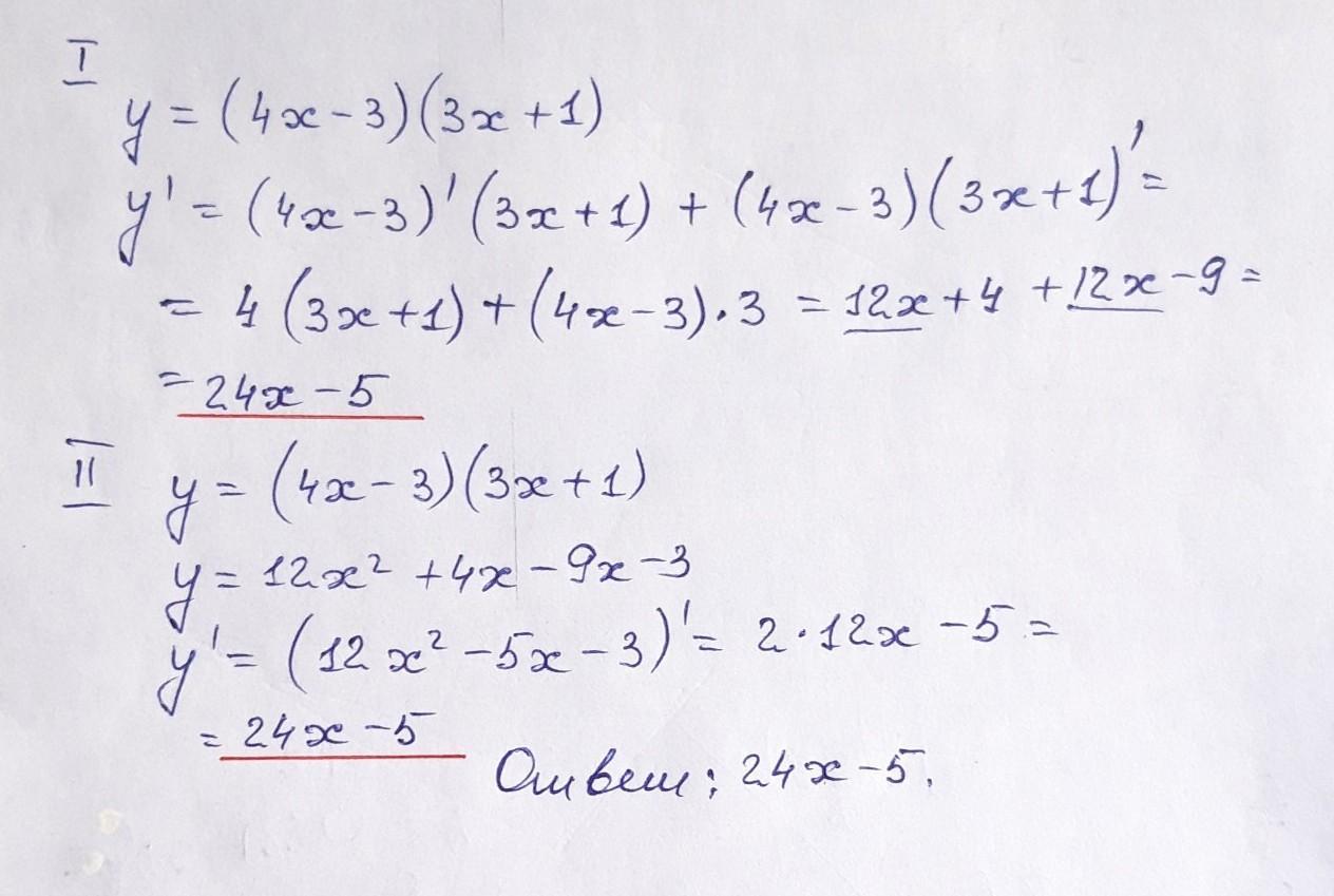
Найдите производную функцию

y=(4x-3)(3x+1)

Ответы

Ответ дал: sharofat0
0

Ответ:

24х - 5.

Найдите производную.

Приложения:
Вас заинтересует