• Предмет: Алгебра
  • Автор: Sadcherrypie
  • Вопрос задан 3 года назад

Пожалуйста, помогите! Нужно предоставить полное решение.

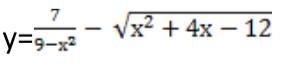
Знайти область визначення функцій: y=7/9-x²-√x²+4x-12

Приложения:

Ответы

Ответ дал: 68tata
1

Відповідь:

ОВФ D(f)=(-∞;-6] ∪ [-2;3) ∪(3;+∞)

Пояснення:

1) 9-х²≠0 →х≠ -3 та х≠3.

2) (х²+4х-12)≥0 знайдемо D=\sqrt{(-4)^2-4*1*(-12)}=\sqrt{16+48}=\sqrt{64} =8

x1=(-4-8)/2=-6; x2=(-4+8)/2=2

то є парабола з вітками догори де у(х) буде ≥о при х ∈(-∞;-6] ∪ [-2;+∞)

3) разом:  х ∈(-∞;-6] ∪ [-2;3) ∪(3;+∞)

Вас заинтересует