ПОМОГИТЕ!!!! СРОЧНО!!! На кону годовая оценка
( я не знаю как нарисовать систему, так что вот эта будет большая скобка: (
( )
1. Решить графически систему: ( x+y=2
( 3x-y=2
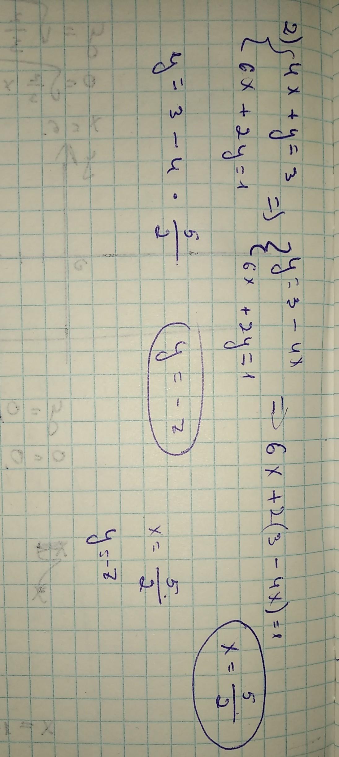
2. Решить систему способом сложения: ( 4x+y=3
( 6x-2y=1
3. Решить способом подстановки: (3x-y=7
( 2x+3y=1
4. Решить систему( просто решить систему, не важно каким способом):
( 3(2x+y)-26=3x-2y
( 15-(x-3y)=2x+5
Если можно напишите максимально развернуто, то есть почему и зачем. Ну что бы я поняла и могла в дальнейшем сделать это сама. Вот так пропустила месяц учебы и ничего не понимаю, а сегодня последний день учебы. Помогите прошу.
Ответы
Ответ:
привет надеюсь ты всё поймёшь у меня почерк не очень хороший я сделала как могла




Ответ:
:D Объяснения в самом низу)
Объяснение:
2)6x-2y=1
4x+y=3 \*2
8x+2y=6
6x-2y+8x+2y=1+6
14x=7
x=0.5
4*0.5+y=3
y=1
3)3x-y=7
-y=7-3x
y=3x-7
2x+3y=1
2x+3(3x-7)=1
2x+9x-21=1
11x=22
x=2
y=3x-7
y=6-7
y=-1
4)3(2x+y)-26=3x-2y
6x+3y-26=3x-2y
3x+5y=26
15-(x-3y)=2x+5
15-x+3y=2x+5
-3x+3y=-10
3x+5y-3x+3y=26-10
8y=16
y=2
3x-3y=10
3x-3*2=10
3x=16
x=16/3
x=5 целых 1/3
Теперь объяснения
1) Тут надо просто подставить к (x) сначала 0 потом 1 и найти (у) у каждого уравнения найти точку пересечения которая и есть ОТВЕТ
2)Надо при способе сложения избавиться от х или у
ax+by=3
-ax+by=2
ax+by+(-ax+by)=3+2
X зачеркнуть
3) Найти неизвестное одинарное и подставить в другое уравнение
Например x+2y=0
x=-2y Нашли х осталось подставить в другое уравнение и решить
Иногда есть такие системы
ПРИМЕР
2x=5y
2x-3y=56
Тут сразу можно подставить вместо 2х другое значение
5y-3y=56
и т.д.
4)Просто довёл уравнение до нужного и решил методом сложения