100 баллов даю Две семьи отправились на детский утренник. Первая семья купила два детских билета и один взрослый и всего заплатила 370 рублей. Вторая семья купила три детских билета и два взрослых и всего заплатила 650 рублей. Сколько стоит один детский билет и сколько стоит один взрослый билет?
Ответы
Ответ дал:
1
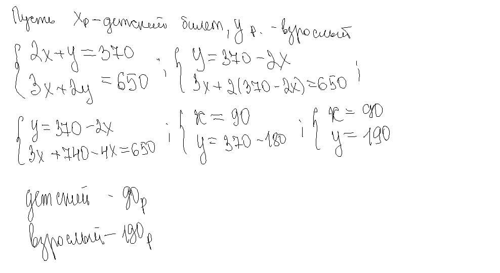
Ответ:
детский - 90 р
взрослый - 190 р
Объяснение:
Приложения:

Ответ дал:
0
х - взрослый, у - детский
х+2у=370
2х+3у=650
х=370-2у
740-4у+3у=650
740-у=650
у=90
х=190
Если нужны объяснения по этой теме – обращайтесь :) Отметьте, пожалуйста, как лучший ответ, если не сложно ❤️
Вас заинтересует
2 года назад
2 года назад
9 лет назад