• Предмет: Алгебра
  • Автор: shuraprokofevich40
  • Вопрос задан 3 года назад

четыре в нулевой степени минус семь во второй степени

Ответы

Ответ дал: DinaTae04
2

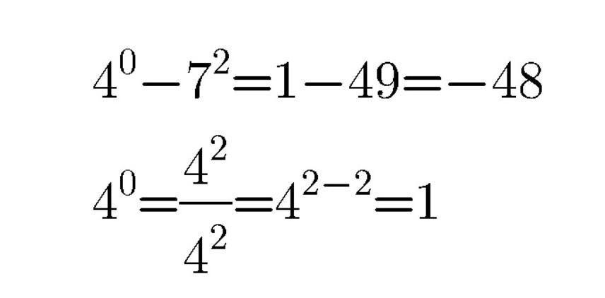
Решение во вложении....

Приложения:

shuraprokofevich40: СПАСИБО
Ответ дал: Аноним
2

Ответ:- 48

Объяснение:  любое число в нулевой степени равно 1.

4⁰- 7²=1 - 49=- 48.

Вас заинтересует