• Предмет: Геометрия
  • Автор: csgamer34567
  • Вопрос задан 3 года назад

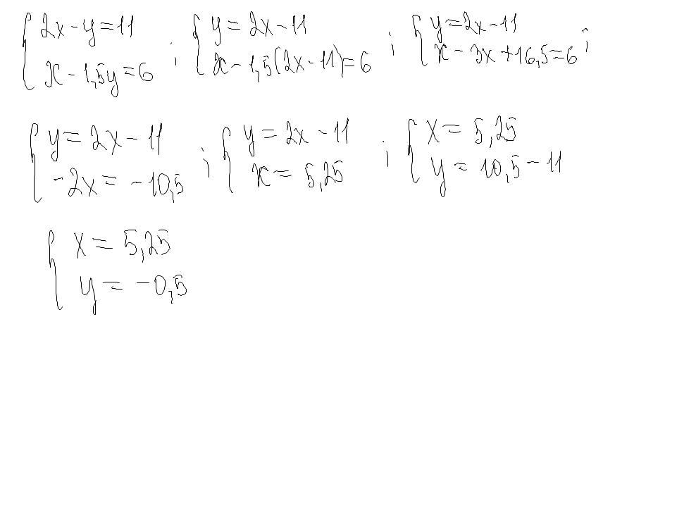
Реши систему уравнений методом подстановки:
2x−y=11
x−1,5y=6
Как можно быстрее ,можно без объяснения!!!!!!

Ответы

Ответ дал: kalinintalin
1

Ответ:

x=5,25

y=-0,5

Объяснение:

Приложения:

csgamer34567: Спасм
Ответ дал: tabemirao4
1

Відповідь:

Х=5,25 , у=0,5

Пояснення:

вот так

Вас заинтересует