• Предмет: Алгебра
  • Автор: VLaDosiR
  • Вопрос задан 3 года назад

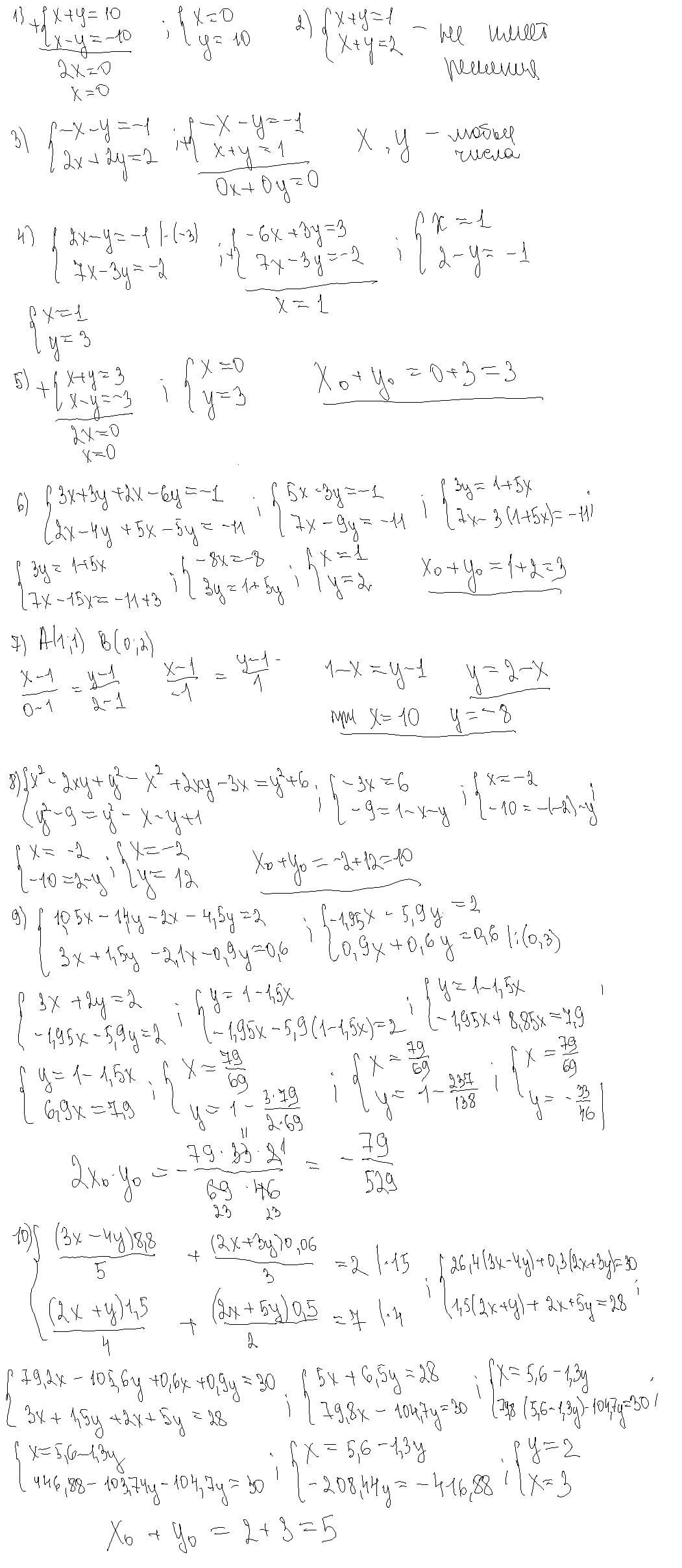
помогите, умоляю дам много балов и корону!

Приложения:

Ответы

Ответ дал: kalinintalin
1

Ответ:

1-4

2-в

3-д

4-1

Объяснение:

Приложения:

VLaDosiR: спасибо спасибо спасибо
Вас заинтересует