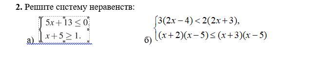
решиите систему неравенств
Приложения:

nikitagubin2004:
Можно больше баллов?
Ответы
Ответ дал:
1
Ответ:5x≤ -13 x≤-2.6
x≥-4 x≥-4 Ответ {-4: -2.6}
2) 6x-12<4x+6 2x< 18 x<9
x²-5x+2x-10≤x²-5x+3x-15 -x≤ -5 x≥5 ответ {5 : 9)
Объяснение:
Вас заинтересует
2 года назад
2 года назад
7 лет назад
7 лет назад
9 лет назад