• Предмет: Математика
  • Автор: Jenashek2020
  • Вопрос задан 3 года назад

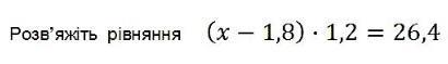
Помогите Пожалуйста

Приложения:

Ответы

Ответ дал: ChemNik
0

Ответ: x =23,8

Пошаговое объяснение:

1,2x - 2,16 =26,4

1,2x = 26,4 + 2,16

1,2x = 28,56

x = 23,8

Вас заинтересует