• Предмет: Математика
  • Автор: kama6777676
  • Вопрос задан 3 года назад

Помогите пожалуйста с решением очень прошу пожалуйста поподробнее ❤️❤️❤️❤️☺️☺️☺️☺️☺️❤️❤️❤️❤️

Приложения:

Ответы

Ответ дал: nataegorov
1

Ответ:

.................... в первом 3/4 .

Приложения:

kama6777676: А 1 как сделали скажи пожалуйста
nataegorov: 6 от числа 8, значит сколько раз поместится 6 в 8. следовательно делим 8 на 6. 8/6 упрощаем, делим 8 на 2 и 6 на 2. получаем 4/3
kama6777676: То есть 8:2=4 6:2=3 отсюда и получается 4/3 да?
kama6777676: Прости я просто матешу плохо знаю
nataegorov: да. это сокращение дроби
kama6777676: Спасибо большое
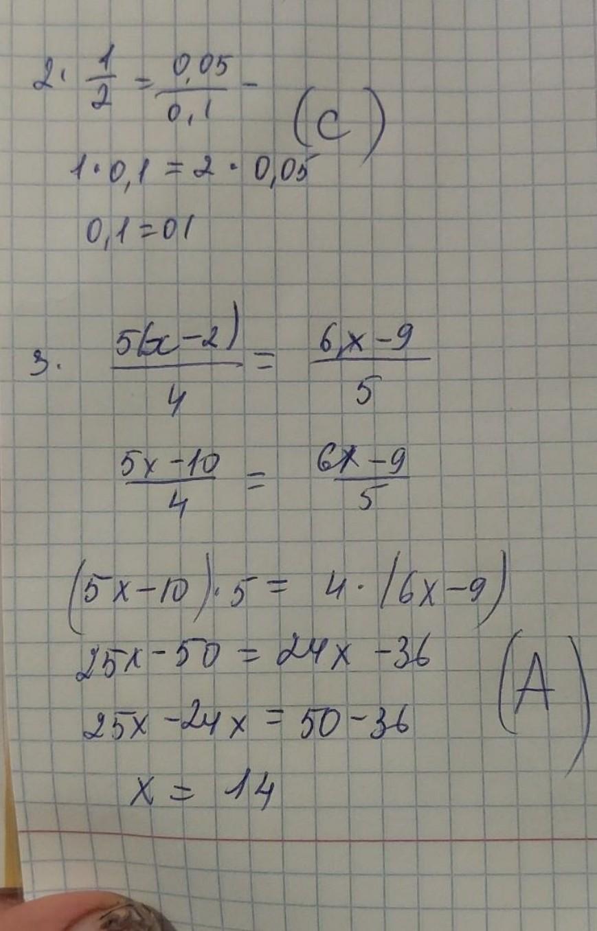
Ответ дал: niceaicha3
1

Ответ:

Пошаговое объяснение:

#1

6/8=3/4

#2

С) умножаем крест на крест, получается верное равенство:0,1×1=0,05×2=0,1=0,1

#3

левую часть умножаем на 5,правую на 4

25 (х-2)=24х-36

25х-50=24х-36

25х -24х=-36+50

х=14

Вас заинтересует