Ответы
Ответ дал:
2
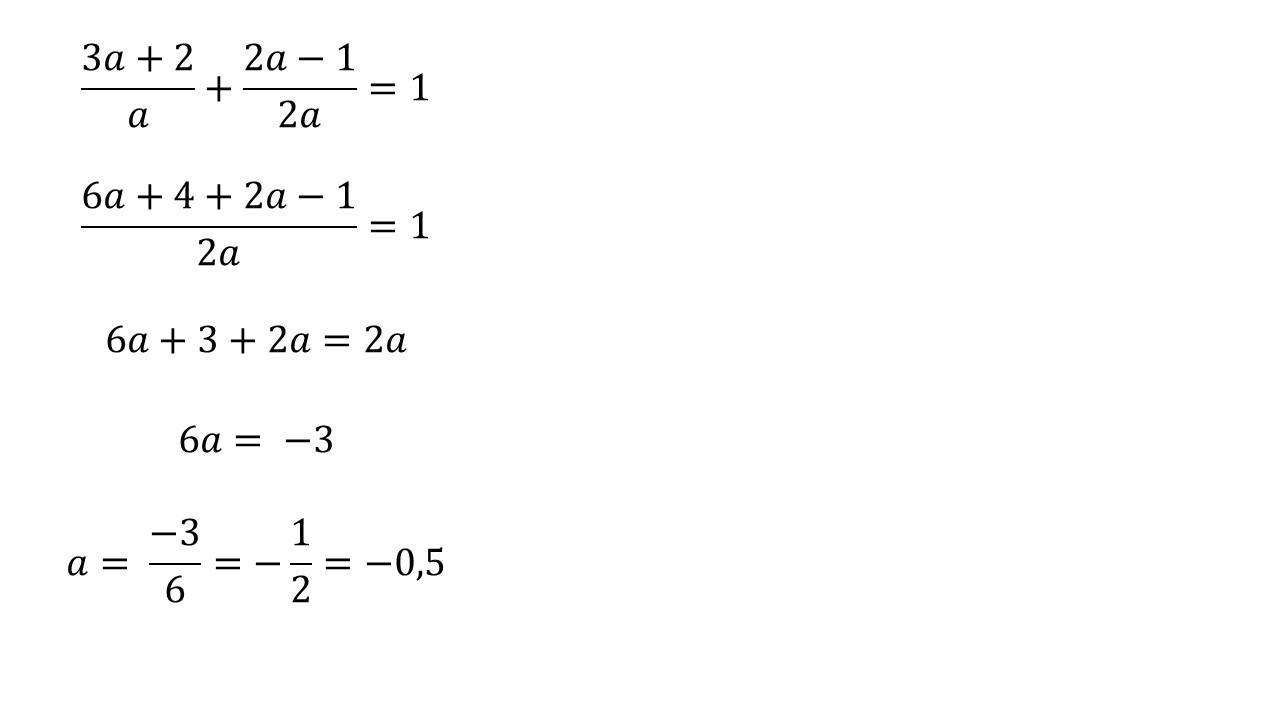
Ответ:
-1/2 = -0,5
Пошаговое объяснение:
Приложения:

mahadibirmahadibirov:
это не правильно я написала ответ.!!!
Вас заинтересует
2 года назад
2 года назад
2 года назад
2 года назад
7 лет назад
7 лет назад
9 лет назад